Все задания указаны в изображениях,все сделать с помощью программы PASCAL ABC NET помогите я в этом вообще не понимаю.
Приложения:
Ответы
Ответ дал:
0
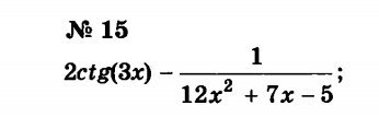
program 15_zadaha;
var
x, y: real;
begin
writeln('Введите значение Х'):
readln(x);
y:= 2*cos(x*3)/sin(x*3)-(1/(12*sqr(x)+7*x-5));
writeln('y= ',y);
end.
var
x, y: real;
begin
writeln('Введите значение Х'):
readln(x);
y:= 2*cos(x*3)/sin(x*3)-(1/(12*sqr(x)+7*x-5));
writeln('y= ',y);
end.
Ответ дал:
0
А второе задание?
Вас заинтересует
2 года назад
2 года назад
7 лет назад
7 лет назад
10 лет назад
10 лет назад