• Предмет: Алгебра
  • Автор: Skdjccccs122
  • Вопрос задан 9 лет назад

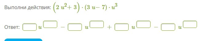
ыполни действия: (2u2+3)⋅(3u−7)⋅u3

Приложения:

Ответы

Ответ дал: lara164
0
(2u²+3)(3u-7)u³ = (6u³-14u²+9u-27)u³ = 6u⁶-14u⁵+9u⁴-27u³
Вас заинтересует