• Предмет: Математика
  • Автор: hueplët228
  • Вопрос задан 9 лет назад

помогите пожалуйсто заранее спасибо

Приложения:

Ответы

Ответ дал: ivanushka2
0
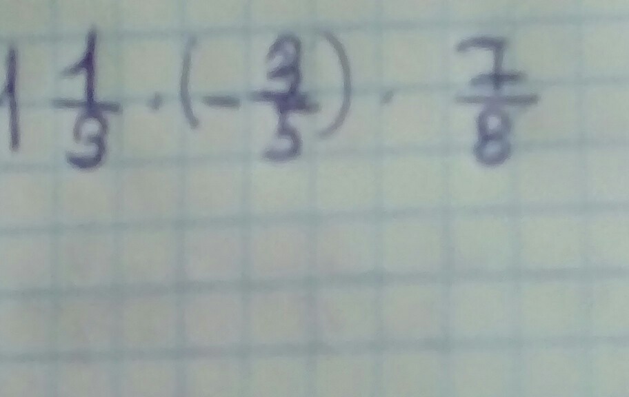
1 целая 1/3 * -3/5*7/8=4/5*7/8=7/10 или 0,7
Ответ дал: hueplët228
0
как ты получил такой отвеиэт
Ответ дал: Аселя141
0
7
=____===-0,7.....
-10
Ответ дал: Аселя141
0
понятно
Ответ дал: hueplët228
0
срасибо
Вас заинтересует