• Предмет: Математика
  • Автор: Pewee
  • Вопрос задан 9 лет назад

Люди помогите, срочно, очень нужно

Приложения:

Ответы

Ответ дал: Trover
0
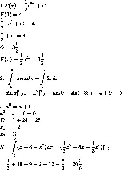
1. F(x)=frac12e^{2x}+C\F(0)=4\frac12cdot e^0+C=4\frac12+C=4\C=3frac12\F(x)=frac12e^{2x}+3frac12\\2.;intlimits_{-3pi}^0cos xdx-intlimits_{-3}^22xdx=\=sin x|_{-3pi}^0-x^2|_{-3}^2=sin0-sin(-3pi)-4+9=5

3.;x^2=x+6\x^2-x-6=0\D=1+24=25\x_1=-2\x_2=3\S=intlimits_{-2}^3(x+6-x^2)dx=(frac12x^2+6x-frac13x^3)|_{-2}^3=\=frac92+18-9-2+12-frac83=20frac56
Приложения:
Вас заинтересует