Ответы
Ответ дал:
0
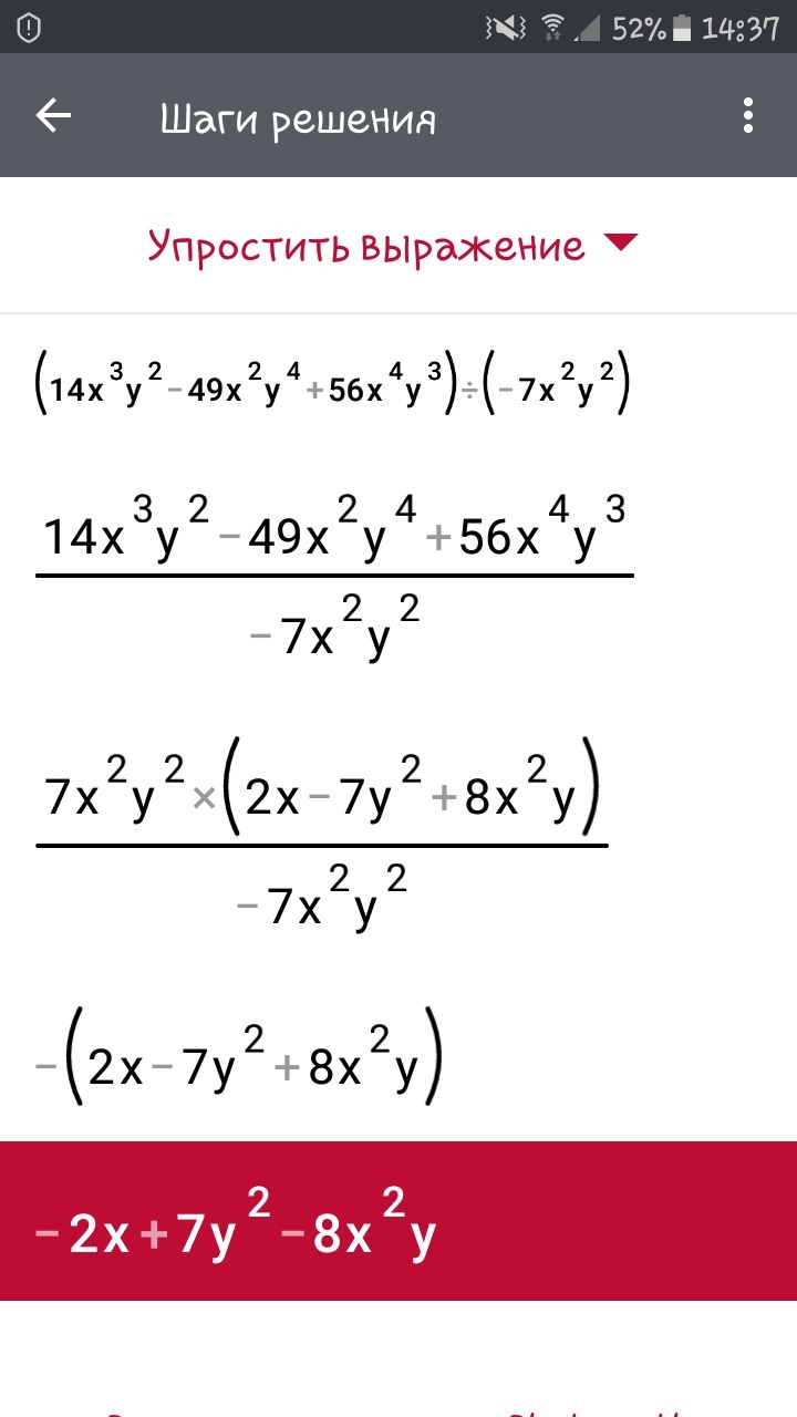
правильный ответ будет C
Приложения:

Ответ дал:
0
ответ C
Ответ дал:
0
8,9,10
Ответ дал:
0
10d
Вас заинтересует
2 года назад
7 лет назад
7 лет назад
9 лет назад
9 лет назад