Ответы
Ответ дал:
0
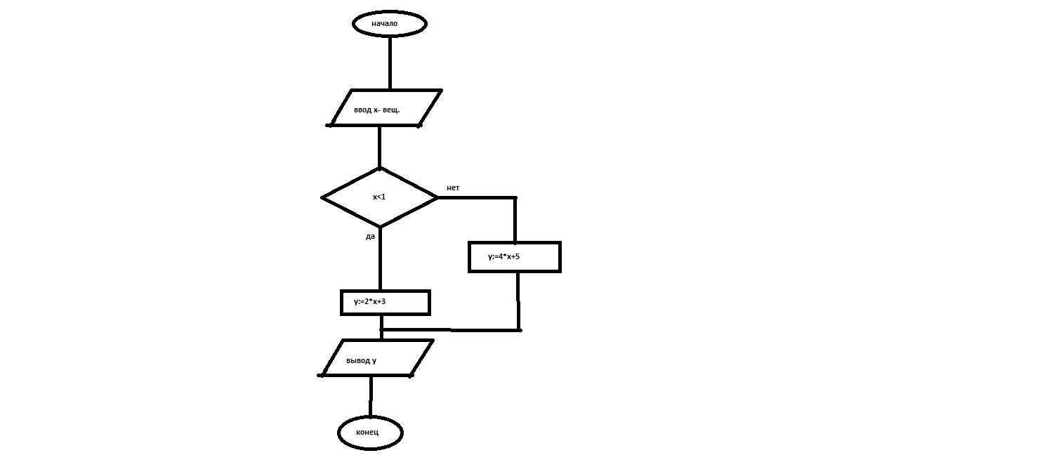
Program n1;
var x,y: real;
begin
readln(x);
if x<1 then y:=2*x+3
else y:=4*x+5;
writeln(y);
end.
var x,y: real;
begin
readln(x);
if x<1 then y:=2*x+3
else y:=4*x+5;
writeln(y);
end.
Приложения:
Вас заинтересует
2 года назад
2 года назад
7 лет назад
7 лет назад
10 лет назад
10 лет назад
10 лет назад