• Предмет: Математика
  • Автор: Dann4ik12
  • Вопрос задан 9 лет назад

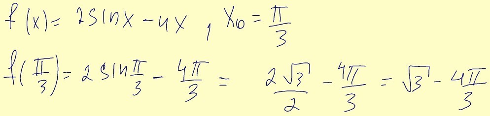
Помогите срочно f(x)=2sinx-4x, x0=п/3

Ответы

Ответ дал: almaznak
0
 sqrt{x}
Приложения:
Вас заинтересует