Ответы
Ответ дал:
0
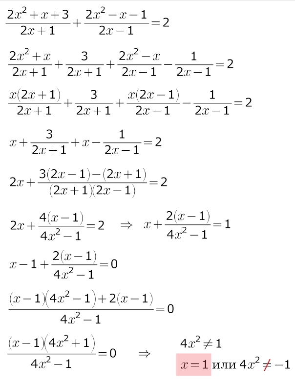
всегда можно дробь разложить на сумму двух дробей с одинаковым знаменателем...
Приложения:

Вас заинтересует
2 года назад
2 года назад
7 лет назад
7 лет назад
10 лет назад