Ответы
Ответ дал:
0
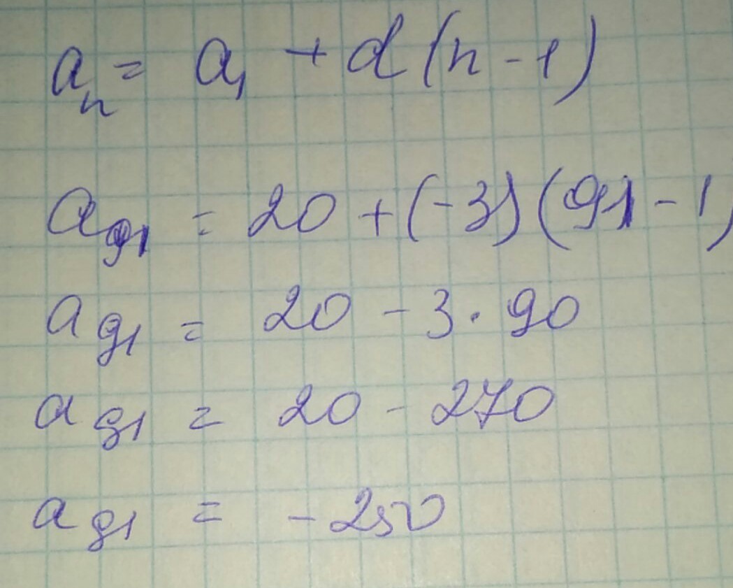
если правильно вспомнила, то ответ а(91) = -250
решение на фото , на всякий случай , перепроверь
решение на фото , на всякий случай , перепроверь
Приложения:

Вас заинтересует
2 года назад
7 лет назад
7 лет назад
9 лет назад
9 лет назад
10 лет назад