• Предмет: Алгебра
  • Автор: qwerty687
  • Вопрос задан 9 лет назад

Как решить показательное уравнение?

Приложения:

Ответы

Ответ дал: TegeranUA
0
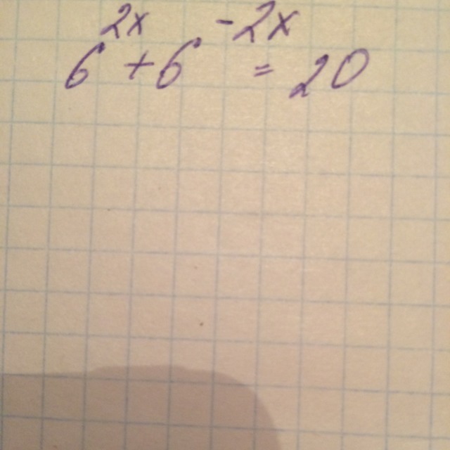
6^{2x}+6^{-2x}=20
\36^x+frac{1}{36^x}-20=0
\(36^x)^2-20*36^x+1=0
\36^{x_{_1}}=frac{-b+sqrt{b^2-4ac}}{2a}=frac{20+sqrt{400-4}}{2}=frac{20+sqrt{396}}{2}=10+frac{6sqrt{11}}{2}=10+3sqrt{11}
\x_{_1}=log_{_{36}}(10+3sqrt{11})
\36^{x_{_2}}=frac{-b-sqrt{b^2-4ac}}{2a}=10-3sqrt{11}
\x_{_2}=log_{_{36}}(10-3sqrt{11})
\OTBET: xin {log_{_{36}}(10-3sqrt{11});log_{_{36}}(10+3sqrt{11})}
Графическое решение на изображении
Приложения:
Ответ дал: qwerty687
0
Что это за значения?
Ответ дал: TegeranUA
0
какие именно?
Ответ дал: qwerty687
0
Спасибо!!
Вас заинтересует