• Предмет: Алгебра
  • Автор: Elirin
  • Вопрос задан 9 лет назад

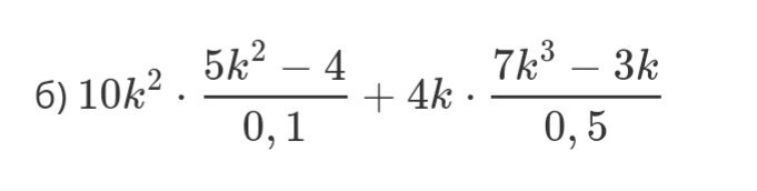
Выполните действия. Два примера в прикрепленных ниже картинках.

Приложения:

Ответа на этот вопрос пока нет. Попробуйте найти его через форму поиска.

Вас заинтересует