• Предмет: Математика
  • Автор: ArturGlushkov
  • Вопрос задан 11 лет назад

Помогите решить , срочно) 

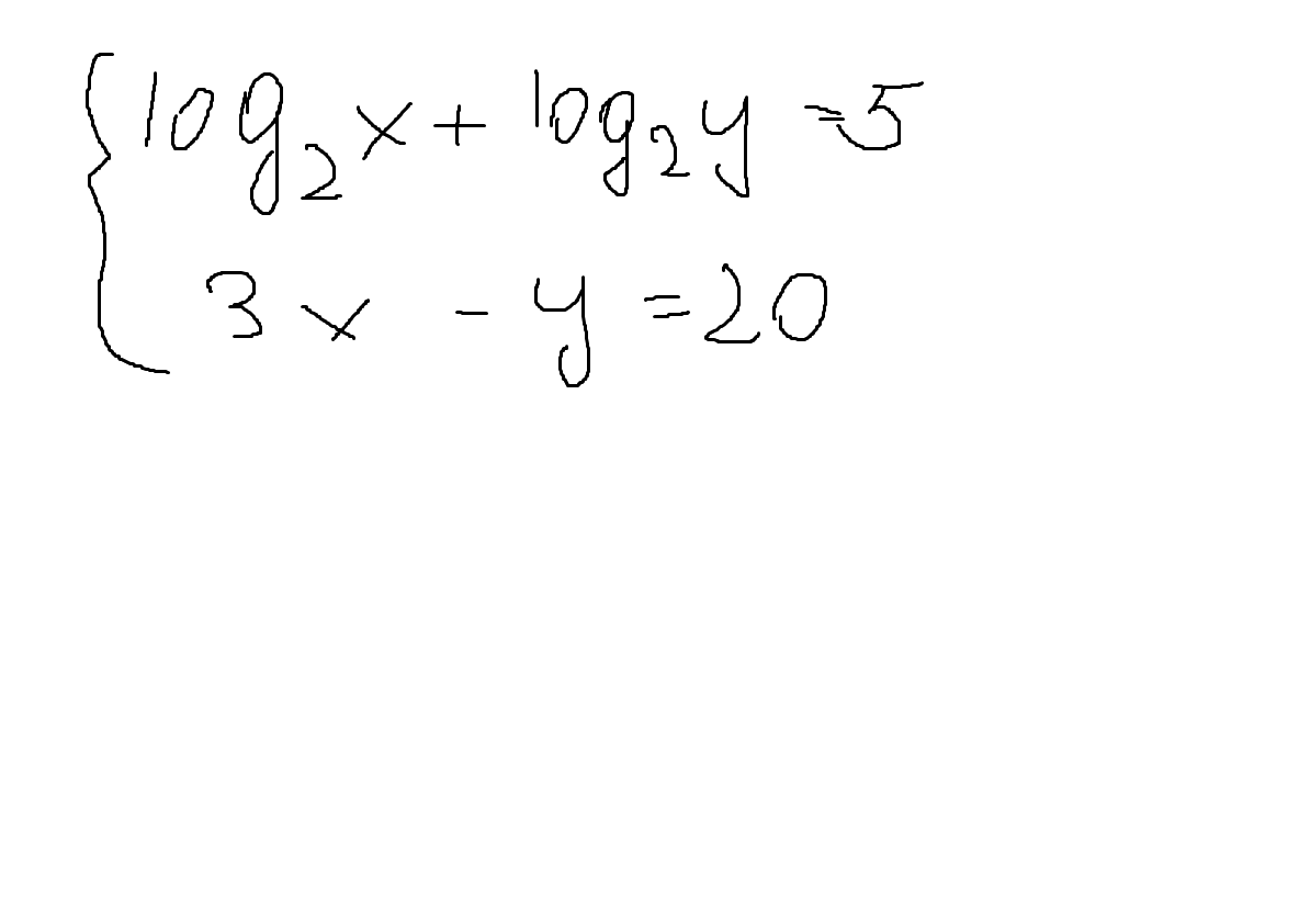
Приложения:

Ответы

Ответ дал: БелыйЕжик
0

2^5=xy

y=3x-20

2^5=x(3x-20)

3x^2-20x-32=0

x1=8

x2=-4/3

y1=4

y2=-24

Ответ:8;4 т.к. основание логарифма может быть только больше 0

Ответ дал: tail128
0

Для первого уравнения.

 

Значит тут очень просто, есть формула которая из суммы двух логарифмов с одинаковым основанием получается один логарифм с тем же основанием, просто перемножаются подлогарифмические выражения( log2(x*y)=5)  вот во что превращается первое уравнение

теперь из определения логарифма x*y=2^5      

x*y=32  (не забудь что x>0, y>0)

 

Для второго уравнения

 

Просто выражаем что нам будет удобнее, например y

y=3x-20

 

подставляем этот y в наше первое уравнение x*y=32

получаем x*(3x-20)=32

3x^2-20x-32=0

Надеюсь сам решишь через Дискриминант

потом полученые иксы подставляешь во второе уравнение и находишь y

 

по сути должно получится 2 пары ответов

но не забывай важного момент x>0 и y>0

 

 

Надеюсь что всё понятно расписал.

 

Вас заинтересует