• Предмет: Алгебра
  • Автор: Amina1369
  • Вопрос задан 9 лет назад

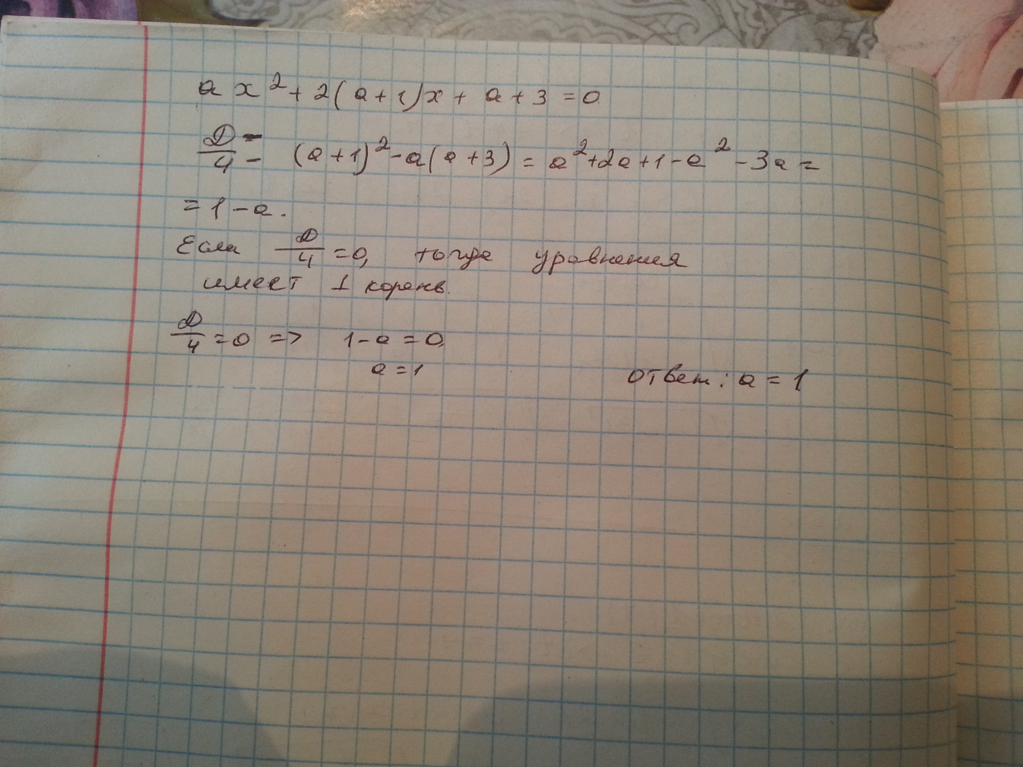
Помогите pешить: найдите все значения "а", при которых квадратное уравнение ax^2+2(a+1)x+a+3=0, имеет один коpень

Ответы

Ответ дал: amin07am
0
Ответ ответ ответ ответ ответ ответ
Приложения:
Вас заинтересует