• Предмет: Алгебра
  • Автор: kirilym1
  • Вопрос задан 9 лет назад

СРОЧНО!!!заранее спс

Приложения:

Ответы

Ответ дал: подкожного
0
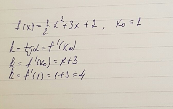
решение задания смотри на фотографии
Приложения:
Ответ дал: подкожного
0
пожалуйста
Вас заинтересует