Ответы
Ответ дал:
0
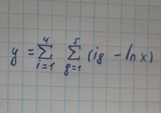
var i,j:integer;
y,x: real;
begin
y:=0;
read(x);
for i:=1 to 4 do
for j:=1 to 5 do
y:=y+(i*j-Ln(x));
write(y:0:3);
end.
y,x: real;
begin
y:=0;
read(x);
for i:=1 to 4 do
for j:=1 to 5 do
y:=y+(i*j-Ln(x));
write(y:0:3);
end.
Ответ дал:
0
P-общее число позиций или 0, если автоматом, Q - позиции дробной части
Ответ дал:
0
посмотрите у меня в вопросах про а.я есть, также 25 баллов этот же пример
Ответ дал:
0
Var
i,j:integer;
E,X:real;
Begin
E:=0;
Write('X = ');Read(X);
For i:= 1 to 4 do
For j:= 1 to 5 do
E:=E+(i*j-ln(X));
WriteLn(E)
End.
i,j:integer;
E,X:real;
Begin
E:=0;
Write('X = ');Read(X);
For i:= 1 to 4 do
For j:= 1 to 5 do
E:=E+(i*j-ln(X));
WriteLn(E)
End.
Вас заинтересует
3 года назад
3 года назад
7 лет назад
7 лет назад
10 лет назад