Сократите дробь:
1) х+х^2/х^-1
2)а-а^2/а^2-1
3)(а-в)^2/в^2-а^2
4)m^2-n^2/(m+n)^2
5)a^2-1/1-a
6)m-n/(n-m)^2
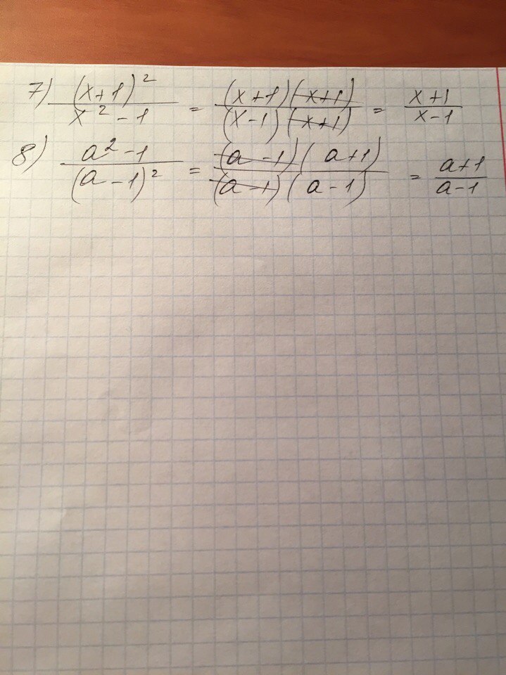
7)(x+1)^2/x^2-1
8)a^2-1/(a-1)^2
Пожалуйста помогитееееее
Желательно чтобы было показано пошагово
Ответы
Ответ дал:
0
Если непонятно, спрашивай
Приложения:


Вас заинтересует
2 года назад
7 лет назад
7 лет назад
9 лет назад
9 лет назад
10 лет назад