• Предмет: Алгебра
  • Автор: Volodic2
  • Вопрос задан 9 лет назад

6 завдання
Поможіть Пж

Приложения:

Ответы

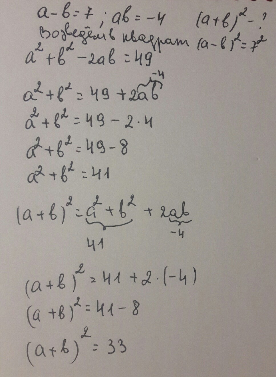
Ответ дал: crdd
0
решение во вложении.
Приложения:
Вас заинтересует