• Предмет: Алгебра
  • Автор: segin43
  • Вопрос задан 9 лет назад

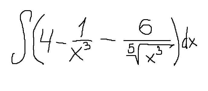
Помогите решить интеграл!

Приложения:

Ответы

Ответ дал: Аноним
0
S(4 -1/x^3 -6/корень5степенииз3(x))dx = S(4)dx -S(x^-3)dx -S( 6/x^(3/5) )dx = 4x -x^2/2 -  30/8 * x^8/5 = 4x -x^2/2 -  15/4 * x^8/5 +C, C=const

Вас заинтересует