Выполните действия:
√257 (5)
√258 (5)
√259 (1)
пожалуйста надо очень сильно алгебра 7 класс
Приложения:

Ответы
Ответ дал:
0
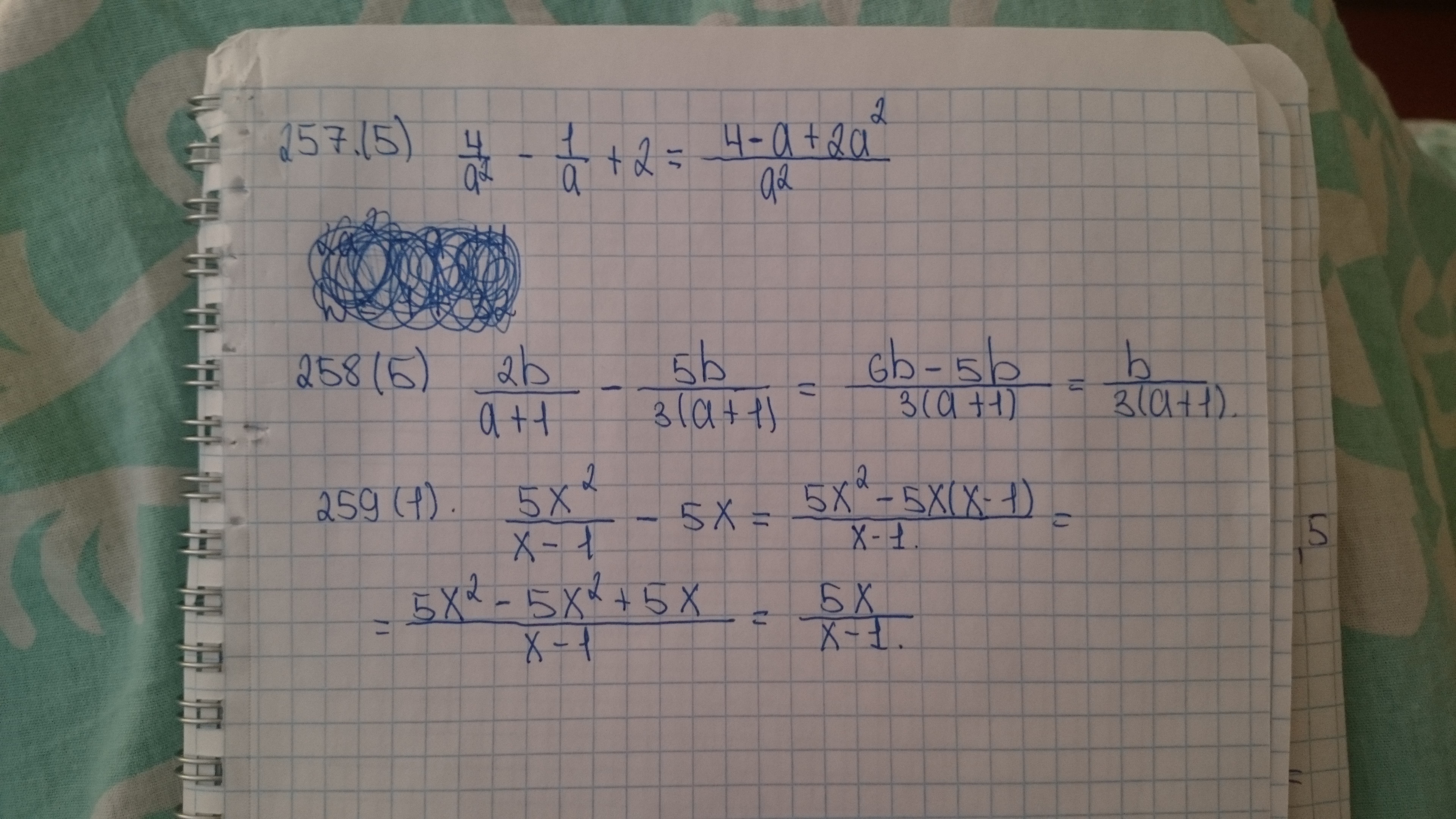
ответ в приложенном фото)
Приложения:

Вас заинтересует
2 года назад
2 года назад
7 лет назад
7 лет назад
9 лет назад
9 лет назад
10 лет назад
10 лет назад