• Предмет: Геометрия
  • Автор: Аноним
  • Вопрос задан 9 лет назад

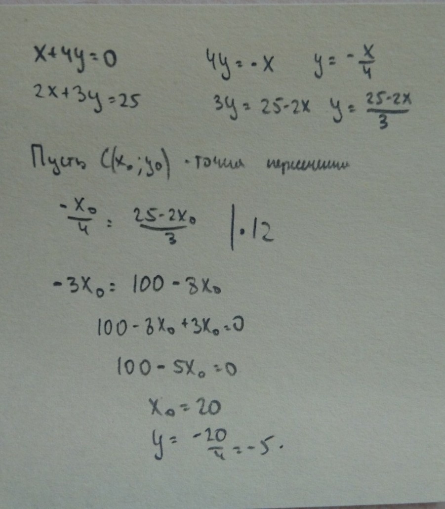
найдите координаты точки пересечения прямых, заданных уравнениями: 1) х+4у=0 и 2х+3у=25

Ответы

Ответ дал: 7AlexandriA7
0
Как-то так и решается))
Приложения:
Вас заинтересует