• Предмет: Алгебра
  • Автор: Лечинкa
  • Вопрос задан 9 лет назад

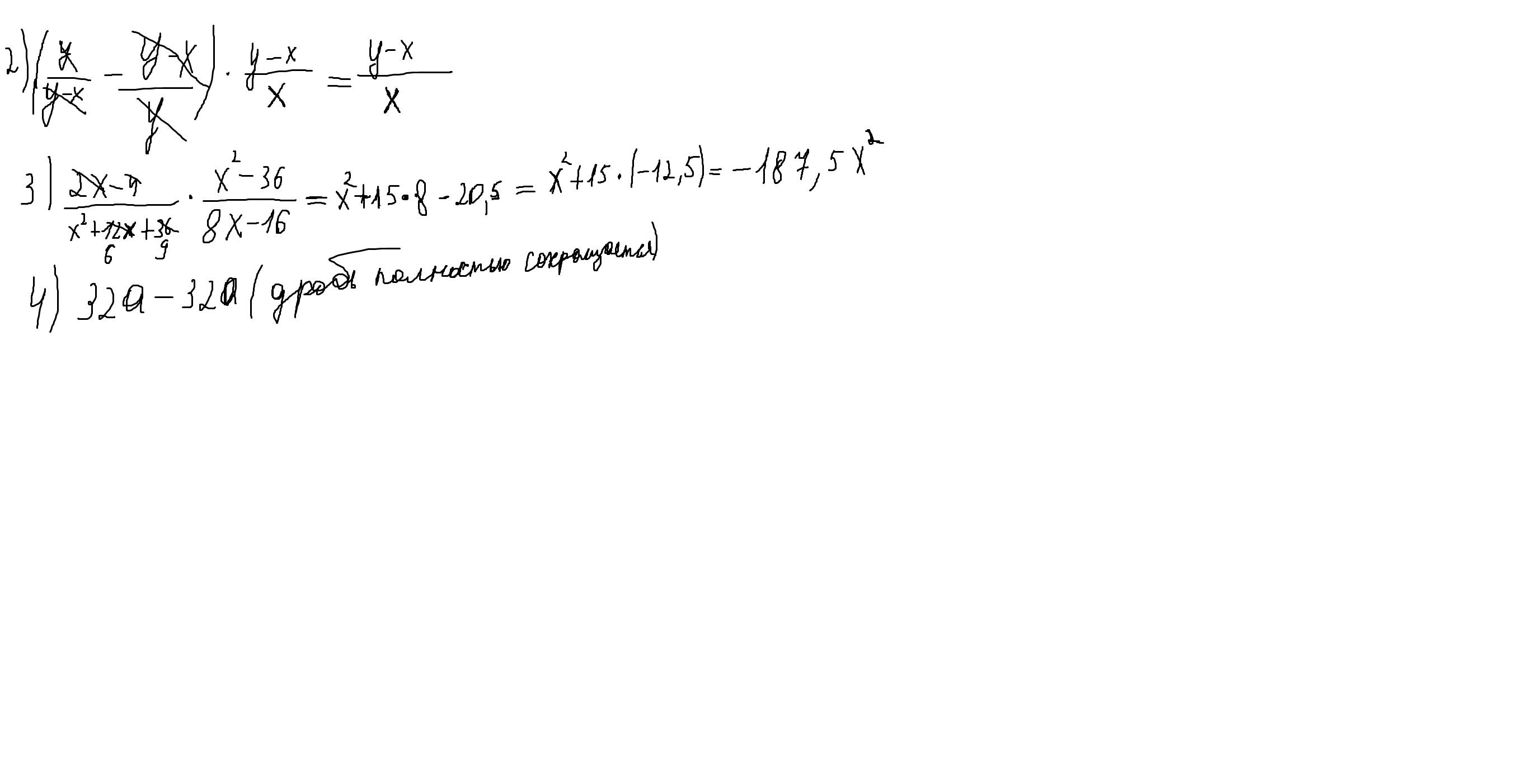
Решите пожалуйста со 2 задания по 4
(По возможности можно и первое сделать :>)
(10б)

Приложения:

Ответы

Ответ дал: Roman19122002
0
Решение на фото.......

Приложения:
Ответ дал: Татьяна2000111
0
первый номер, готов))))))
Приложения:
Ответ дал: Татьяна2000111
0
вот это будет правильно
Вас заинтересует