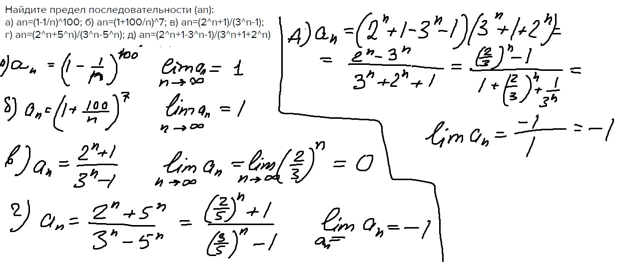
Найдите предел последовательности (аn):
a) an=(1-1/n)^100; б) an=(1+100/n)^7; в) an=(2^n+1)/(3^n-1);
г) an=(2^n+5^n)/(3^n-5^n); д) an=(2^n+1-3^n-1)/(3^n+1+2^n)
Ответы
Ответ дал:
0
В п д возможна ошибка в условии. Но принцип решения ясен из приведенных примеров
Приложения:

Вас заинтересует
2 года назад
2 года назад
7 лет назад
7 лет назад
9 лет назад
9 лет назад
10 лет назад