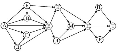
На рисунке изображена схема дорог, связывающих города А, Б, В, Г, Д, Е, К, Л, М, Н, П, Р, Т. По каждой дороге можно двигаться только в одном направлении, указанном стрелкой.
Сколько существует различных путей из города А в город Т?
Приложения:

Ответы
Ответ дал:
0
Пояснение.
Количество путей до города Х = количество путей добраться в любой из тех городов, из которых есть дорога в Х.
С помощью этого наблюдения посчитаем последовательно количество путей до каждого из городов:
А = 1
Б = А = 1
В = А + Б = 2
Д = А = 1
Г = А + Д = 2
Е = А + Б + В + Г + Д = 1 + 1 + 2 + 2 + 1 = 7
К = Б + Е = 7 + 1 = 8
Л = Е + К = 7 + 8 = 15
М = Л + К = 8 + 15 = 23
Н = К + М + Л = 8 + 23 + 15 = 46
П = Н = 46
Р = Н = 46
Т = П + Н + Р = 46 + 46 + 46 = 138
Ответ: 138.
Вас заинтересует
2 года назад
2 года назад
7 лет назад
9 лет назад
9 лет назад
10 лет назад