Ответы
Ответ дал:
0
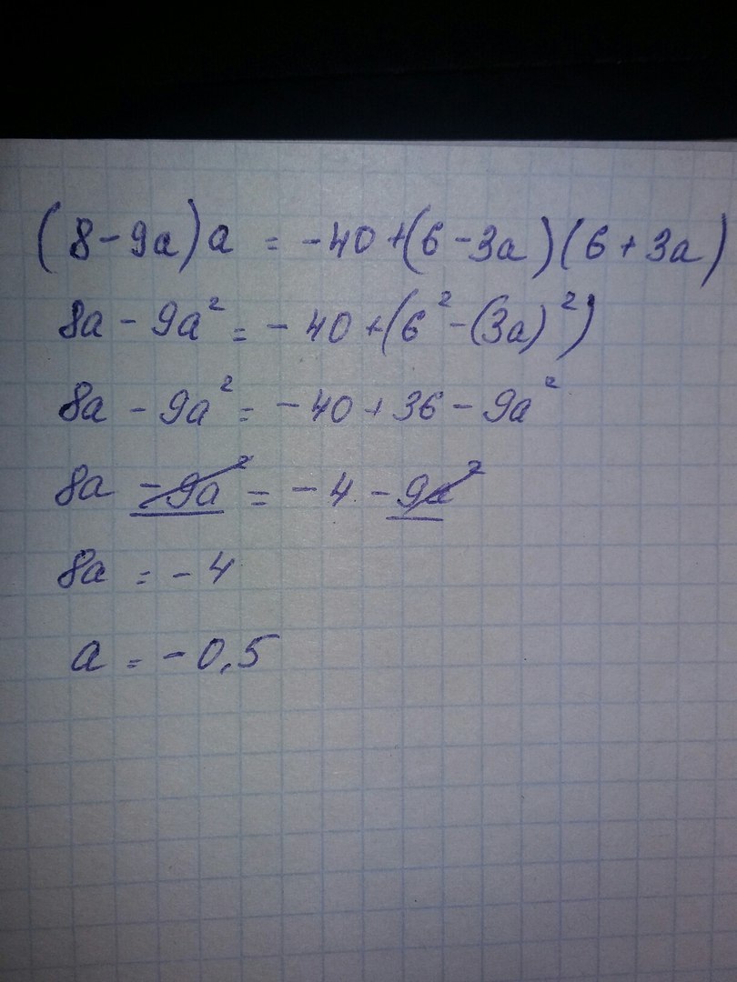
Решение закреплено в файле
Приложения:
Ответ дал:
0
спасибо !
Ответ дал:
0
(8-9а)а=-40+(6-3а)(6+3а)
8а - 9а² = -40 + 6²-3а²
8а - 9а² = -40 + 36 - 3а²
8а - 9а² = -4 - 3а²
8а + 4 = -3а² + 9а²
8а + 4 = 5а²
8*а + 4*1 = 5а²
4(2а + 1) = 5*а*а
4*2а + 1*4 = 5*а*а
8а + 4 = 5*а*а
4 = 5*а*а - 8а
4 = 5а² - 8а
4 = 5а² - 8а
4 = -3а
а = 4/-3
а = -1 целая 1/3
8а - 9а² = -40 + 6²-3а²
8а - 9а² = -40 + 36 - 3а²
8а - 9а² = -4 - 3а²
8а + 4 = -3а² + 9а²
8а + 4 = 5а²
8*а + 4*1 = 5а²
4(2а + 1) = 5*а*а
4*2а + 1*4 = 5*а*а
8а + 4 = 5*а*а
4 = 5*а*а - 8а
4 = 5а² - 8а
4 = 5а² - 8а
4 = -3а
а = 4/-3
а = -1 целая 1/3
Приложения:
Вас заинтересует
3 года назад
3 года назад
7 лет назад
7 лет назад
10 лет назад
10 лет назад
10 лет назад