• Предмет: Алгебра
  • Автор: Mainkaa
  • Вопрос задан 9 лет назад

Найдите значение |x-7y|, если:

Приложения:

Ответы

Ответ дал: Artem112
0
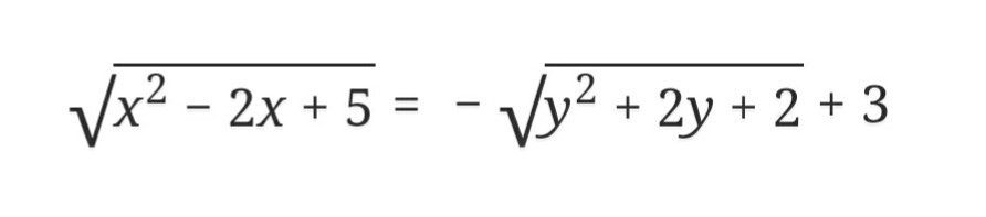
 sqrt{x^2-2x+5} =- sqrt{y^2+2y+2} +3
Преобразуем:
 sqrt{(x^2-2x+1)+4} =- sqrt{(y^2+2y+1)+1} +3
\
 sqrt{(x-1)^2+4} =- sqrt{(y+1)^2+1} +3
Оценим левую часть:
(x-1)^2 geq 0
\
(x-1)^2+4 geq 4
\
 sqrt{(x-1)^2+4}  geq 2
Оценим правую часть:
(y+1)^2 geq 0
\
(y+1)^2 +1geq 1
\
 sqrt{(y+1)^2 +1} geq 1
\
- sqrt{(y+1)^2 +1}  leq -1
\
- sqrt{(y+1)^2+1} +3leq 2
Но левая и правя часть равны. С одной стороны - это число не меньшее 2, с другой стороны - не большее 2. Значит, и левая и правая часть равна 2.
left{begin{array}{l} sqrt{(x-1)^2+4} =2 \ - sqrt{(y+1)^2+1} +3=2 end{array}
Rightarrow
left{begin{array}{l}  sqrt{(x-1)^2+4} =2\ - sqrt{(y+1)^2+1} =-1 end{array}
Rightarrow
Rightarrow left{begin{array}{l}  sqrt{(x-1)^2+4} =2\  sqrt{(y+1)^2+1} =1 end{array}
Rightarrow left{begin{array}{l}  (x-1)^2+4 =4\  (y+1)^2+1 =1 end{array}
Rightarrow left{begin{array}{l}  (x-1)^2 =0\  (y+1)^2 =0 end{array}
Rightarrow
Rightarrow left{begin{array}{l}  x-1 =0\  y+1 =0 end{array}
Rightarrow left{begin{array}{l}  x=1\  y=-1  end{array}
|x-7y|=|1-7cdot(-1)|=|1+7|=|8|=8
Ответ: 8
Вас заинтересует