Ответы
Ответ дал:
0
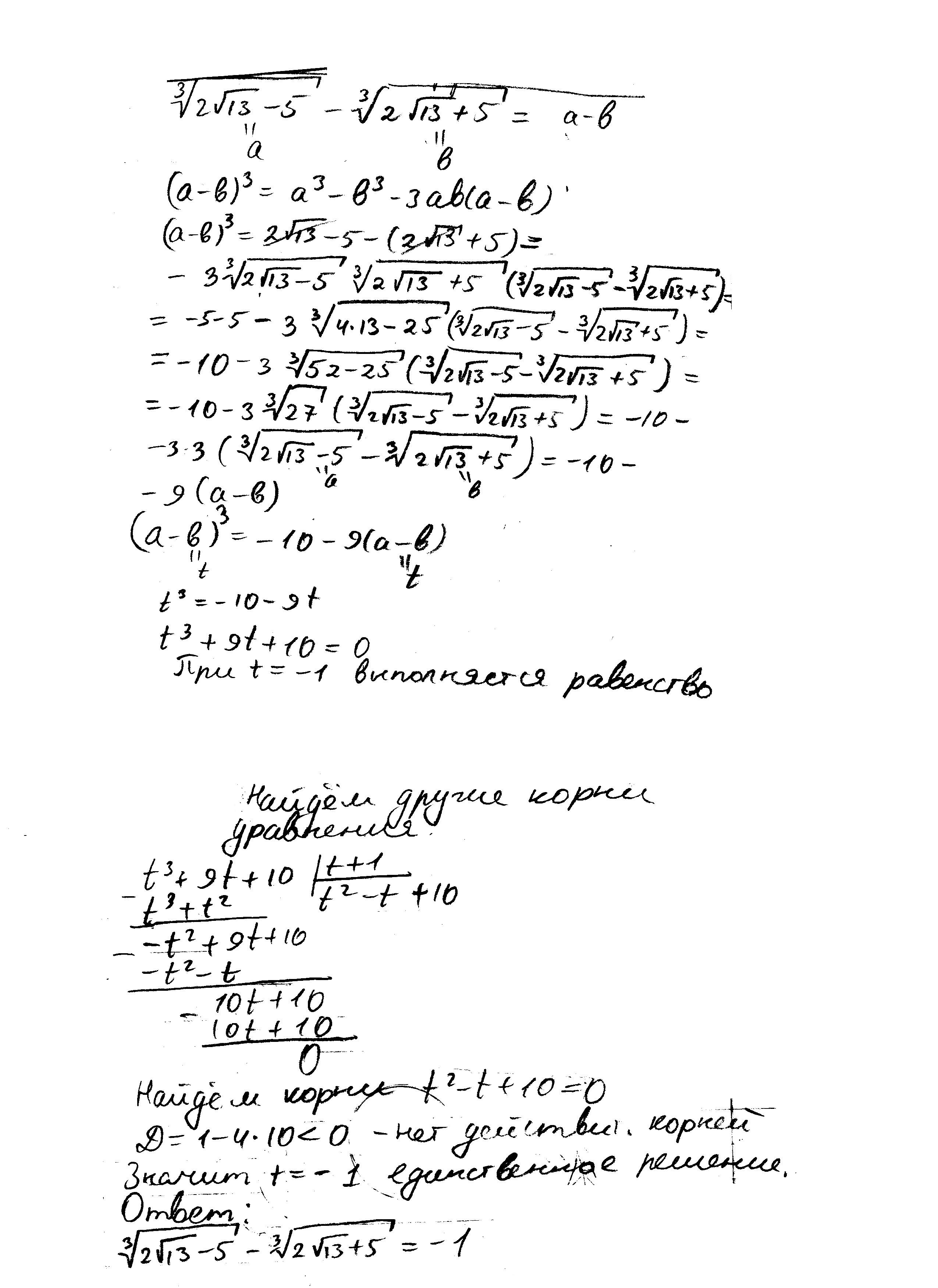
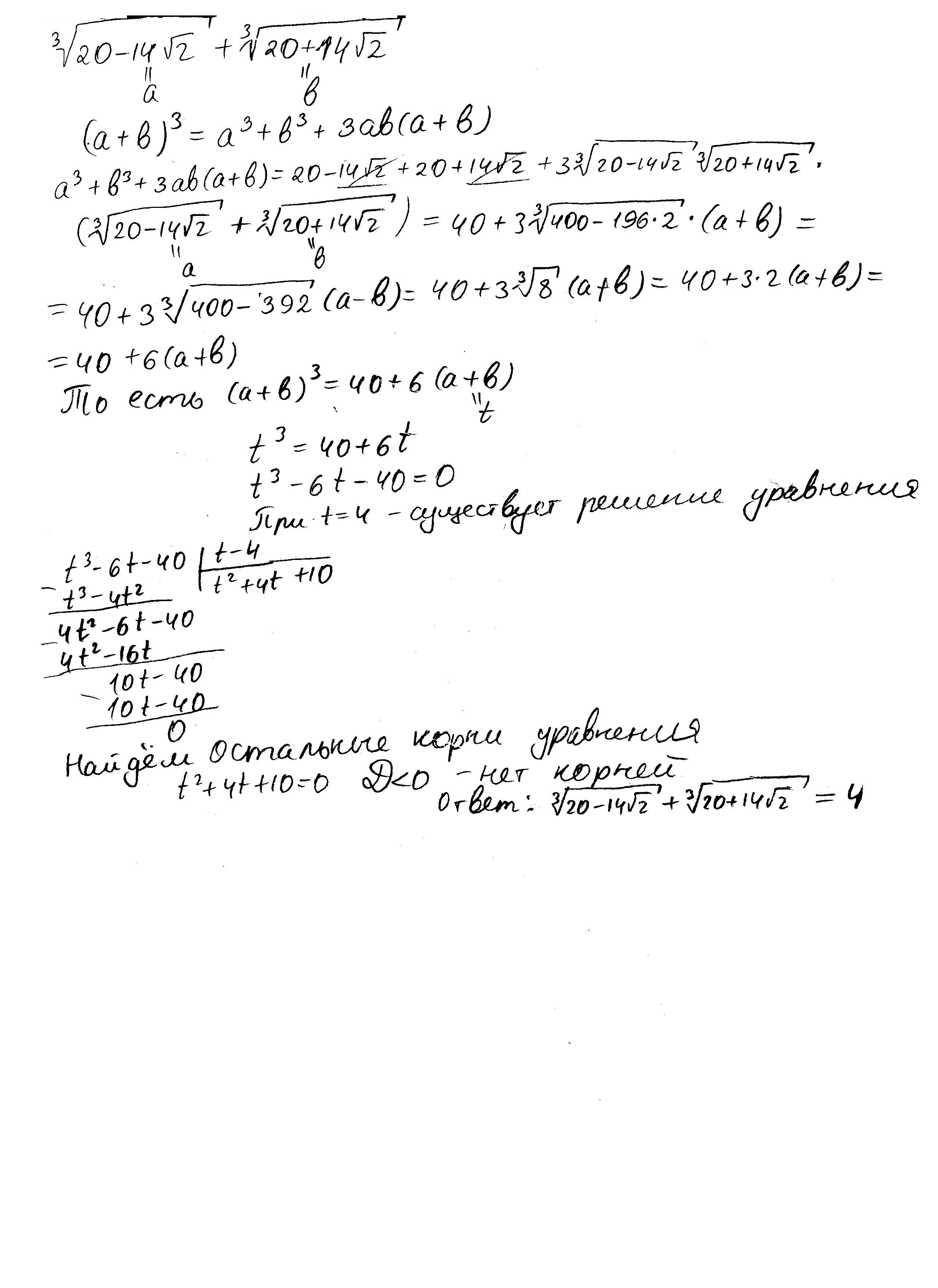
Решение в приложении.
Приложения:




Ответ дал:
0
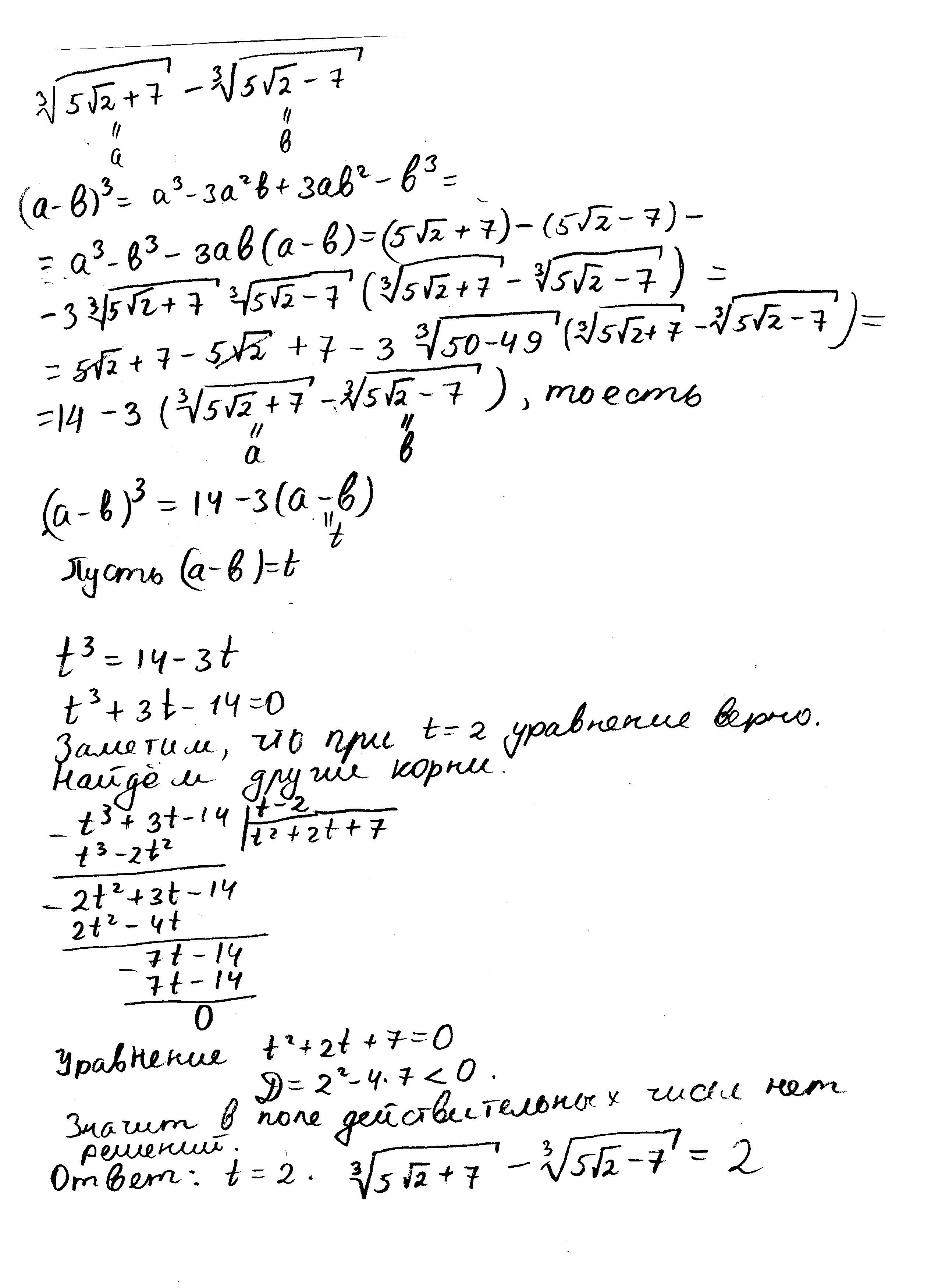
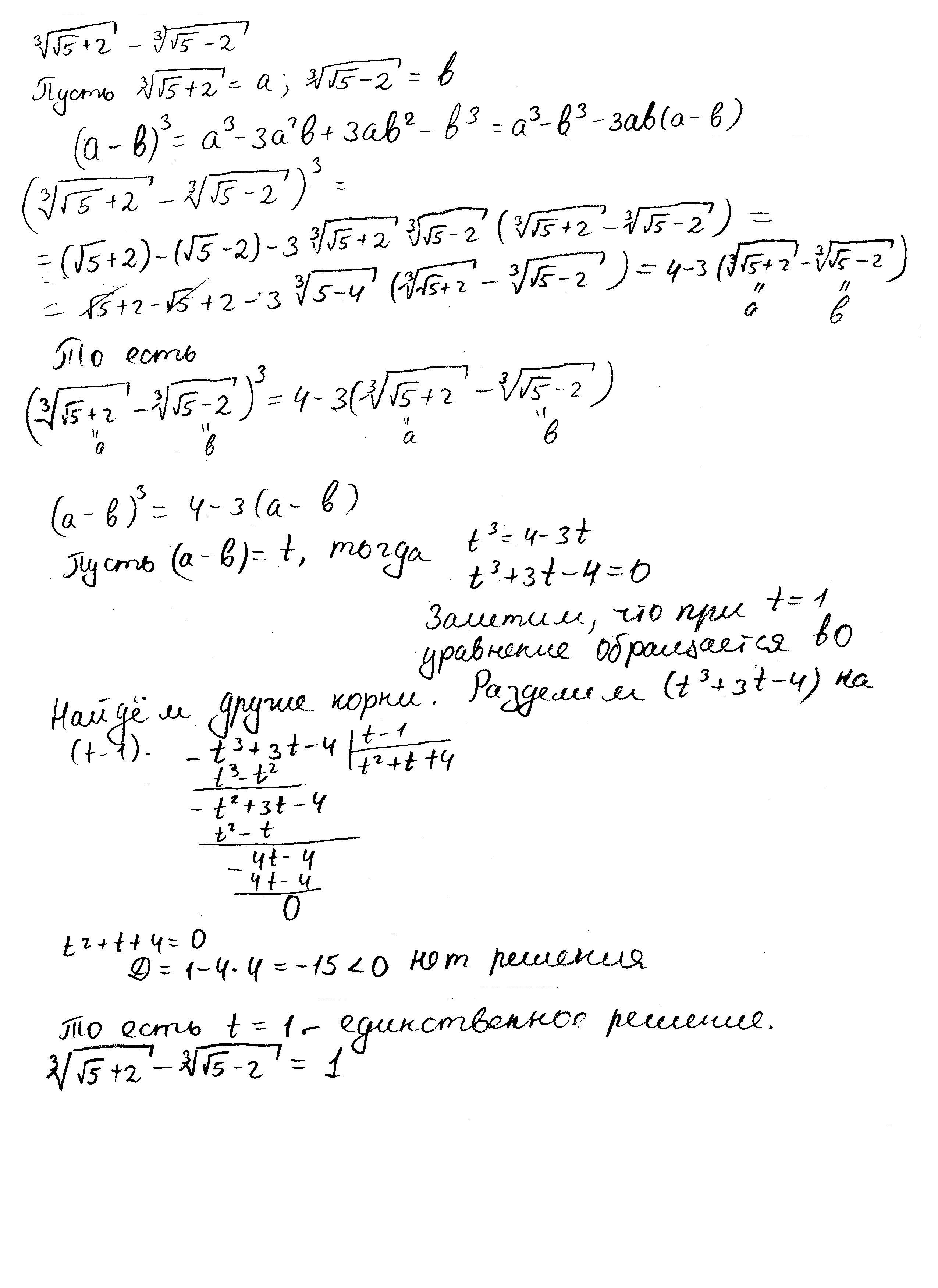
Решение смотри на фото
Приложения:


Вас заинтересует
2 года назад
2 года назад
7 лет назад
7 лет назад
9 лет назад
9 лет назад