• Предмет: Алгебра
  • Автор: Lena132431
  • Вопрос задан 9 лет назад

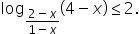
Помогите решить данные неравенства, пожалуйста!!!)

Приложения:

Ответы

Ответ дал: Miroslava227
0
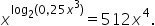
решение на фотографии
Приложения:
Вас заинтересует