• Предмет: Алгебра
  • Автор: Kattterina
  • Вопрос задан 11 лет назад

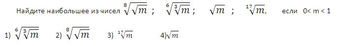
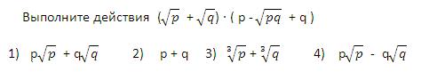
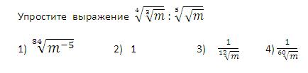
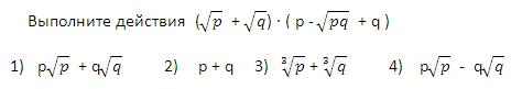
Тест, корни. 4 примера + варианты ответа.
 

Приложения:

Ответы

Ответ дал: NNNLLL54
0

1) ответ №1

2)ответ №1

3) ответ №1

4) ответ №4

 

 

 

 

 

 

Вас заинтересует