• Предмет: Алгебра
  • Автор: sliusarenkotx
  • Вопрос задан 9 лет назад

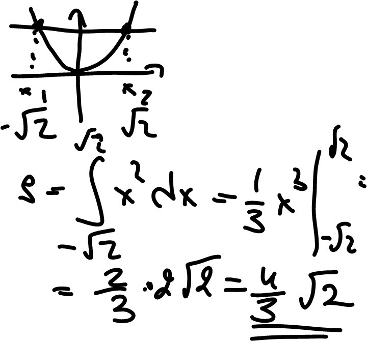
Найти площадь фигуры, ограниченной параболой y=x^2 и прямыми у= 0 и у=2.

Ответы

Ответ дал: СашаПланк
0
111111111111111111111111111111
Приложения:
Ответ дал: СашаПланк
0
Исправил, не так прочитал
Вас заинтересует