• Предмет: Математика
  • Автор: tandemeeИнгишка
  • Вопрос задан 9 лет назад

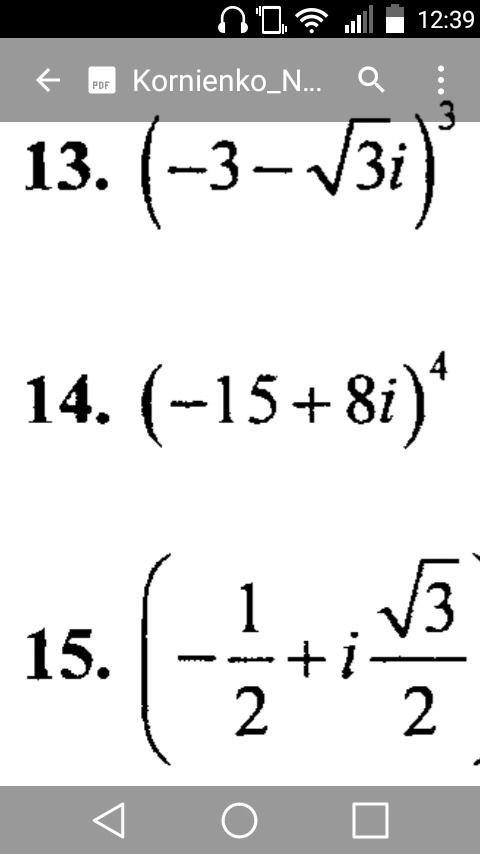
Возвести в степень. Комплексные числа.
Решение представить в тригонометрической форме
Номер 14

Приложения:

Ответы

Ответ дал: ProGroomer
0
-3-sqrt3i=2sqrt3(-{sqrt3over2}-{1over2}i)=2sqrt3(cos{7piover6}+isin{7piover6})\(2sqrt3(cos{7piover6}+isin{7piover6}))^3=24sqrt3(cos{7piover2}+isin{7piover2})=-24sqrt3i\\(-15+8i)^4=((-15+8i)^2)^2=(225-240i-64)^2=\=(161-240i)^2=25921-77280i-57600=-31679-77280i\\(-{1over2}+i{sqrt3over2})^4=(cos{2piover3}+isin{2piover3})^4=cos{8piover3}+isin{8piover3}=-{1over2}+i{sqrt3over2}
Вас заинтересует