Ответы
Ответ дал:
0
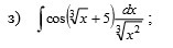
Замена переменной:
![sqrt[3]{x}+5=u Rightarrow du=( sqrt[3]{x}+5)`dx \ \ du= frac{1}{3}x^{ frac{1}{3} -1} dx \ \ du= frac{dx}{3 sqrt[3]{x^2} } sqrt[3]{x}+5=u Rightarrow du=( sqrt[3]{x}+5)`dx \ \ du= frac{1}{3}x^{ frac{1}{3} -1} dx \ \ du= frac{dx}{3 sqrt[3]{x^2} }](https://tex.z-dn.net/?f=+sqrt%5B3%5D%7Bx%7D%2B5%3Du++Rightarrow++du%3D%28+sqrt%5B3%5D%7Bx%7D%2B5%29%60dx+%5C++%5C+du%3D+frac%7B1%7D%7B3%7Dx%5E%7B+frac%7B1%7D%7B3%7D+-1%7D+dx+%5C++%5C+du%3D+frac%7Bdx%7D%7B3+sqrt%5B3%5D%7Bx%5E2%7D+%7D+)
------------------------------------
![= intlimits {cosu} ,cdo (3 du) =3sinu+C=3sin( sqrt[3]{x}+5)+C = intlimits {cosu} ,cdo (3 du) =3sinu+C=3sin( sqrt[3]{x}+5)+C](https://tex.z-dn.net/?f=%3D+intlimits+%7Bcosu%7D+%2Ccdo+%283+du%29+%3D3sinu%2BC%3D3sin%28+sqrt%5B3%5D%7Bx%7D%2B5%29%2BC+)
------------------------------------
Вас заинтересует
2 года назад
2 года назад
7 лет назад
7 лет назад
10 лет назад
10 лет назад