• Предмет: Математика
  • Автор: Pilika17
  • Вопрос задан 9 лет назад

помогите!!!напишите решение!!
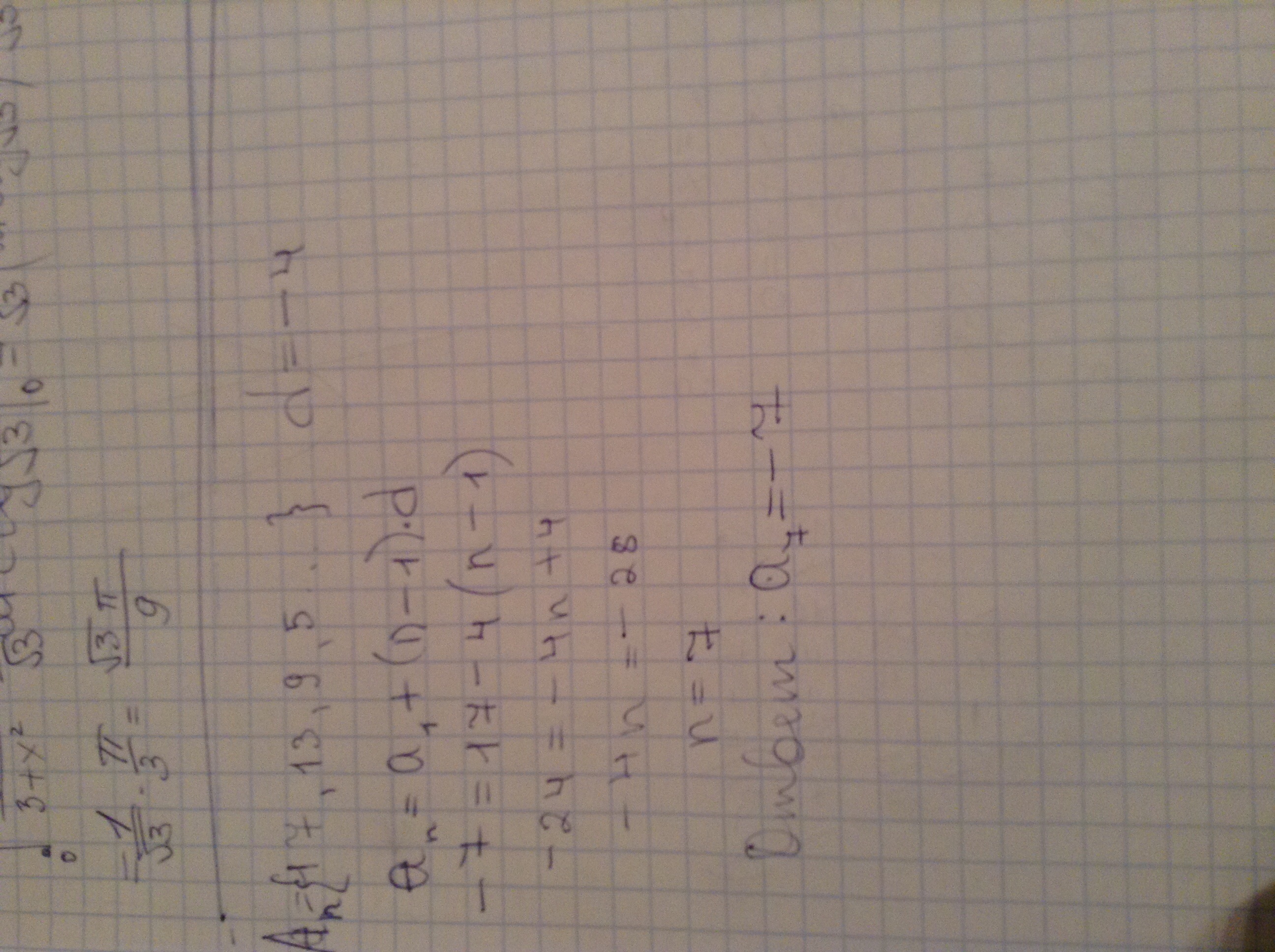
выписаны первые несколько членов арифметической прогрессии 17;13; 9; 5... Какое из следующих чисел есть среди членов этой прогресии?(ответ должен быть 3)
1)0
2)-5
3)-7
4)-14

Ответы

Ответ дал: moboqe
0
.....................
Приложения:
Вас заинтересует