• Предмет: Алгебра
  • Автор: VirusApiens
  • Вопрос задан 9 лет назад

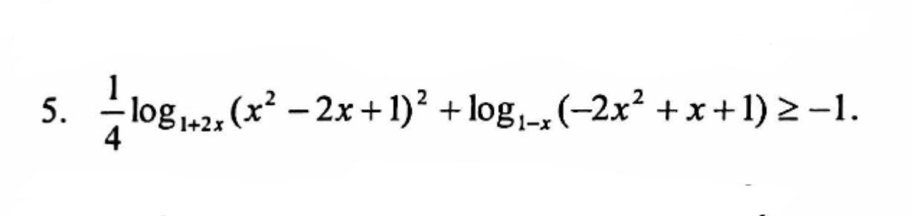
Логарифм на фото. Очень желательно на листочке и подробно

Приложения:

Ответа на этот вопрос пока нет. Попробуйте найти его через форму поиска.

Вас заинтересует