ПОМОГИТЕ МНЕ ПОЖАЛУЙСТА!!! очень-очень СРОЧНО!!!! ИМЕННО СЕЙЧАС!!!)))) ЗАРАНЕЕ ОГРОМНОЕ ВАМ СПАСИБО!!!
Приложения:

Ответы
Ответ дал:
0
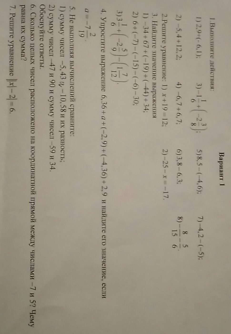
2. 1) х+19=12
х=12-19=-7
х= -7
2) -25-х=-17
-х= -17+25=8
х = -8
х=12-19=-7
х= -7
2) -25-х=-17
-х= -17+25=8
х = -8
Ответ дал:
0
спасибо, я уже сама все решила)
Вас заинтересует
2 года назад
2 года назад
7 лет назад
7 лет назад
9 лет назад
9 лет назад
10 лет назад