• Предмет: Математика
  • Автор: Аноним
  • Вопрос задан 9 лет назад

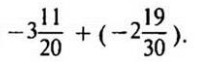
Найдите значение суммы:

Приложения:

Ответы

Ответ дал: принцеска16
0
Если что то,не понятно спрашивай
Приложения:
Ответ дал: Аноним
0
3 11/20 + 2 19/30=
Вас заинтересует