Ответы
Ответ дал:
0
*В уме считаю
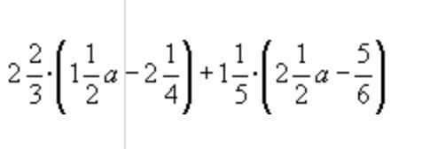
1) 2 2/3×1 1/2а=24/6а=4а
2) 2 2/3×(-2 1/4)= -72/12=-6
3) 1 1/5×2 1/2а=30/10а=3а
4) 1 1/5×(-5/6)=-30/30=-1
5) 4а-6+3а-1=7а-7
1) 2 2/3×1 1/2а=24/6а=4а
2) 2 2/3×(-2 1/4)= -72/12=-6
3) 1 1/5×2 1/2а=30/10а=3а
4) 1 1/5×(-5/6)=-30/30=-1
5) 4а-6+3а-1=7а-7
Ответ дал:
0
если что - проверь
Вас заинтересует
2 года назад
7 лет назад
7 лет назад
10 лет назад
10 лет назад
10 лет назад
10 лет назад