Пожалуйста решите! Срочно! Даю 12 баллов! АЛГЕБРА!
Найдите множество корней уравнения:
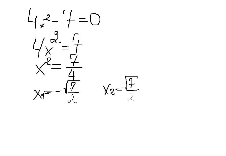
4х^2-7=0
С решением!
Ответы
Ответ дал:
0
Надеюсь, что помогла тебе
Приложения:

Вас заинтересует
2 года назад
2 года назад
7 лет назад
7 лет назад
9 лет назад
10 лет назад