• Предмет: Алгебра
  • Автор: Trololosha12
  • Вопрос задан 9 лет назад

логарииифмы помогите пож!

Приложения:

Ответы

Ответ дал: NotMyProblem
0
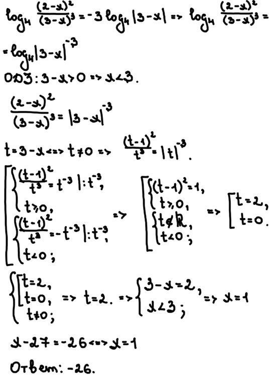
Решение с ответом на рисунке.
Приложения:
Вас заинтересует