• Предмет: Алгебра
  • Автор: gggtawer
  • Вопрос задан 9 лет назад

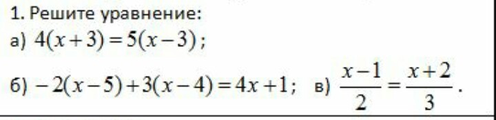
РЕШИТЕ,ПОЖАЛУЙСТА.СТАВЛЮ 5 ЗВЕЗД,ПРОШУ

Приложения:

Ответа на этот вопрос пока нет. Попробуйте найти его через форму поиска.

Вас заинтересует