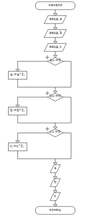
Помогите умняшки! Даны три числа. все неотрицательные числа увеличить в 3 раза. Составить алгоритм с помощью блок схемы.
Ответы
Ответ дал:
0
_________________________
Приложения:
Вас заинтересует
2 года назад
2 года назад
7 лет назад
7 лет назад
10 лет назад
10 лет назад
10 лет назад