Ребят,помогите решить 4 любые уравнения (корме 1.2.3)
Это по теме решение дробных рациональных уравнений
ПОМОГИТЕ ПОЖАЛУЙСТА
Приложения:
Ответы
Ответ дал:
0
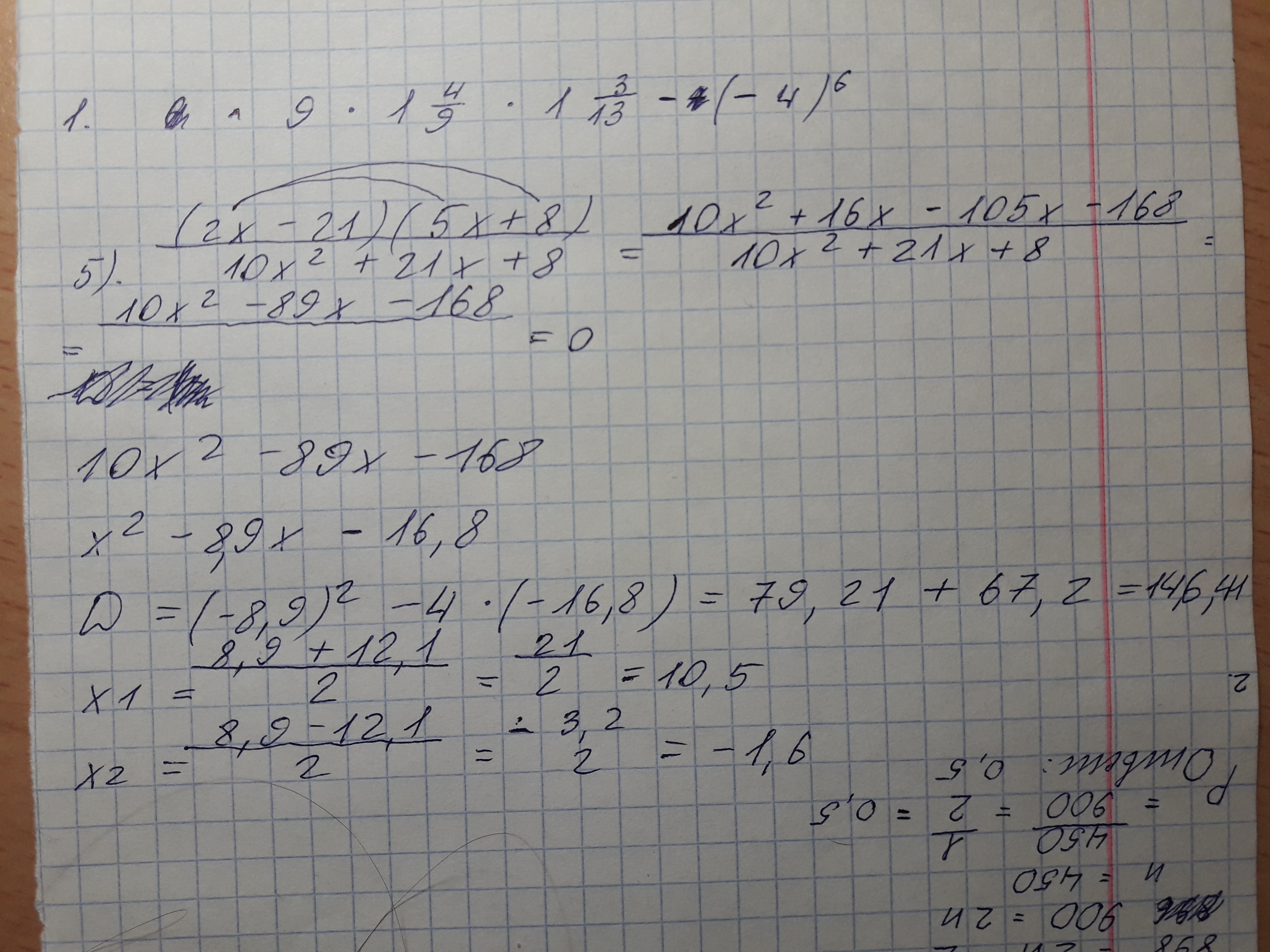
5) (2х-21)(5х+8)/10х^+21х+8=0 /*(10х^+21х+8);
(2х-21)(5х+8)=0;
10х^+16х-105х-168=0;
10х^-89х-168=0/÷10;
x^-8,9x-16,8=0;
D=(-8,9)^-4*(-16,8)=79,21+67,2=146,41;
X1=8,9+12,1 /2=21/2=10,5;
X2=8,9-12,1/2=-3,2/2=-1,6;
Ответ: 2 корня: 10,5 и -1,6.
(2х-21)(5х+8)=0;
10х^+16х-105х-168=0;
10х^-89х-168=0/÷10;
x^-8,9x-16,8=0;
D=(-8,9)^-4*(-16,8)=79,21+67,2=146,41;
X1=8,9+12,1 /2=21/2=10,5;
X2=8,9-12,1/2=-3,2/2=-1,6;
Ответ: 2 корня: 10,5 и -1,6.
Приложения:
Ответ дал:
0
спасибо большое!)
Ответ дал:
0
Незачто
Ответ дал:
0
Хорошо
Вас заинтересует
2 года назад
2 года назад
7 лет назад