• Предмет: Алгебра
  • Автор: xxx1010
  • Вопрос задан 9 лет назад

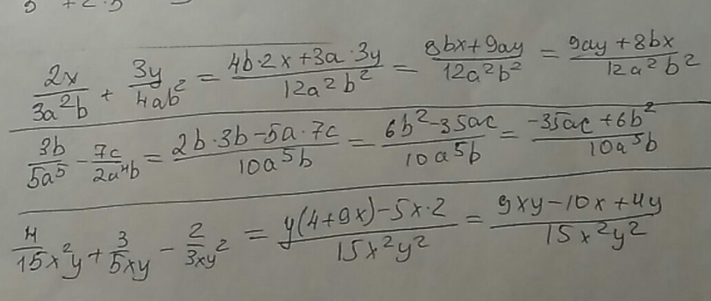
пожалуйста решите 1 2 3

Приложения:

Ответы

Ответ дал: dead011
0
вот так))))))))))))))....... .
Приложения:
Вас заинтересует