Ответы
Ответ дал:
0
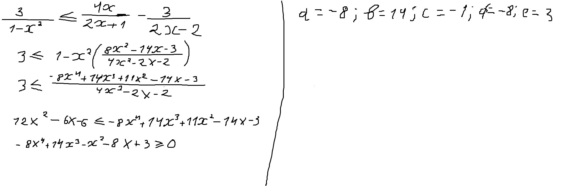
Ответов нет, поэтому попробовал сам. Дошел до многочлена 4 степени, и на этом остановился. Мб поможет чем-то.-.
Приложения:

Ответ дал:
0
Корни этого многочлена:
Ответ дал:
0
последние два отбрасываются по ОДЗ
Вас заинтересует
2 года назад
2 года назад
7 лет назад
7 лет назад
9 лет назад
9 лет назад
10 лет назад
10 лет назад