• Предмет: Математика
  • Автор: nlevin
  • Вопрос задан 9 лет назад

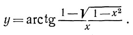
Помогите найти производную.Пробовал сделать, как производная от частного, не сошлось с ответом.

Приложения:

Ответы

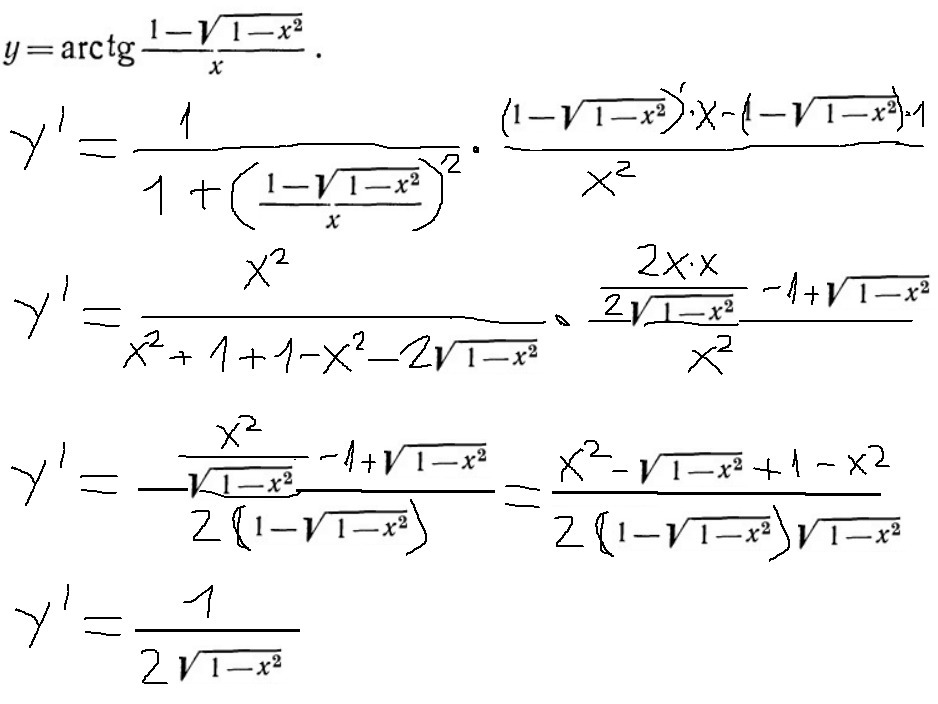
Ответ дал: infkoktnet
0
см. рисунок__________________________
Приложения:
Вас заинтересует