Срочно , нужно решение и ответ помогите пожалуйста.
Задача: найдите область определения функции.
Приложения:
Ответы
Ответ дал:
0
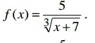
х+7 не равно 0;
х не равно -7 ;
D(f)=(от минус бесконечн. до -7) и
(-7; до плюс бесконечности)
х не равно -7 ;
D(f)=(от минус бесконечн. до -7) и
(-7; до плюс бесконечности)
Вас заинтересует
2 года назад
2 года назад
7 лет назад
7 лет назад
10 лет назад
10 лет назад