• Предмет: Алгебра
  • Автор: keklol2289
  • Вопрос задан 9 лет назад

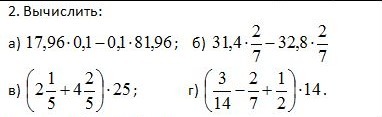
РЕШИТЕ ПОЖАЛУЙСТА,ПРОШУ,СТАВЛЮ 5 ЗВЕЗД

Приложения:

Ответы

Ответ дал: damask89055
0
а)-6.4
б)1.4(2/7)
в)19
г)6
Вас заинтересует