• Предмет: Алгебра
  • Автор: keklol2289
  • Вопрос задан 9 лет назад

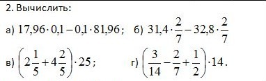
РЕШИТЕ ПОЖАЛУЙСТА,ПРОШУ,СТАВЛЮ 5 ЗВЕЗД

Приложения:

Ответа на этот вопрос пока нет. Попробуйте найти его через форму поиска.

Вас заинтересует