• Предмет: Алгебра
  • Автор: elnara1103
  • Вопрос задан 9 лет назад

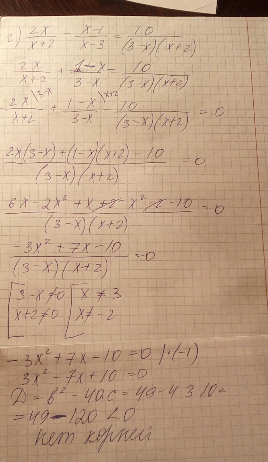
26.10 г)
......................

Приложения:

Ответы

Ответ дал: MBmagic
0
ответ на фото...................
Приложения:
Вас заинтересует