• Предмет: Алгебра
  • Автор: Grigory223
  • Вопрос задан 9 лет назад

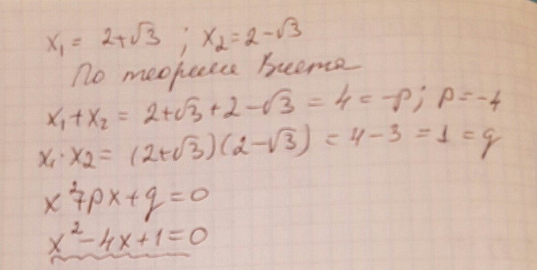
Составьте квадратное уравнение,корни которого равны
2+√3 и 2-√3

Ответы

Ответ дал: подкожного
0
решение задания смотри на фотографии
Приложения:
Вас заинтересует