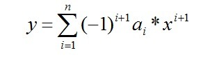
Для вектора a размерностью n=10 и произвольного числа x вычислить число y по формуле с блок-схемой
Приложения:
Ответы
Ответ дал:
0
#include <iostream>
#include <math.h>
#include <vector>
using namespace std;
int main() {
srand(time(NULL));
int n = 10, x = rand() % 21 - 10, y = 0;
vector<int> a;
for (int i = 0; i <= n; i++) {
a.push_back(rand() % 101 - 50);
y += pow(-1, i+1) * a[i] * pow(x, i+1);
}
cout << y << endl;
return 0;
}
#include <math.h>
#include <vector>
using namespace std;
int main() {
srand(time(NULL));
int n = 10, x = rand() % 21 - 10, y = 0;
vector<int> a;
for (int i = 0; i <= n; i++) {
a.push_back(rand() % 101 - 50);
y += pow(-1, i+1) * a[i] * pow(x, i+1);
}
cout << y << endl;
return 0;
}
Вас заинтересует
3 года назад
3 года назад
7 лет назад
10 лет назад
10 лет назад
10 лет назад
10 лет назад